Differentiability
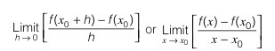
Derivative at a point: Let I denote the open interval (a, b) in R, and let x₀ ∈ I. Then a function f: I → R is said to be differentiable at x0, if

exist (finitely) and is denoted by f′(x0).
Differentiability in an Open Interval
A function f is said to be differentiable in an open interval (a, b), if it is differentiable at each point of the open interval.
Differentiability in a Closed Interval
A function f : [a, b] → R is said to be differentiable in closed interval [a, b] if it is
1. differentiable from right a t a [i.e. R f′(a) exists] and
2. differentiable from left at b [i.e. L f′(a) exists] and
3. differentiable in the open interval (a, b).
Dear Aspirants,
Your preparation for GATE, ESE, PSUs, and AE/JE is now smarter than ever — thanks to the MADE EASY YouTube channel.
This is not just a channel, but a complete strategy for success, where you get toppers strategies, PYQ–GTQ discussions, current affairs updates, and important job-related information, all delivered by the country’s best teachers and industry experts.
If you also want to stay one step ahead in the race to success, subscribe to MADE EASY on YouTube and stay connected with us on social media.
MADE EASY — where preparation happens with confidence.

MADE EASY is a well-organized institute, complete in all aspects, and provides quality guidance for both written and personality tests. MADE EASY has produced top-ranked students in ESE, GATE, and various public sector exams. The publishing team regularly writes exam-related blogs based on conversations with the faculty, helping students prepare effectively for their exams.
